





Hal Leonard
Adams: John's Book Of Alleged Dances (Study Score)
Composer: John Adams
Publisher: Boosey & Hawkes
Publisher Code: M051212859
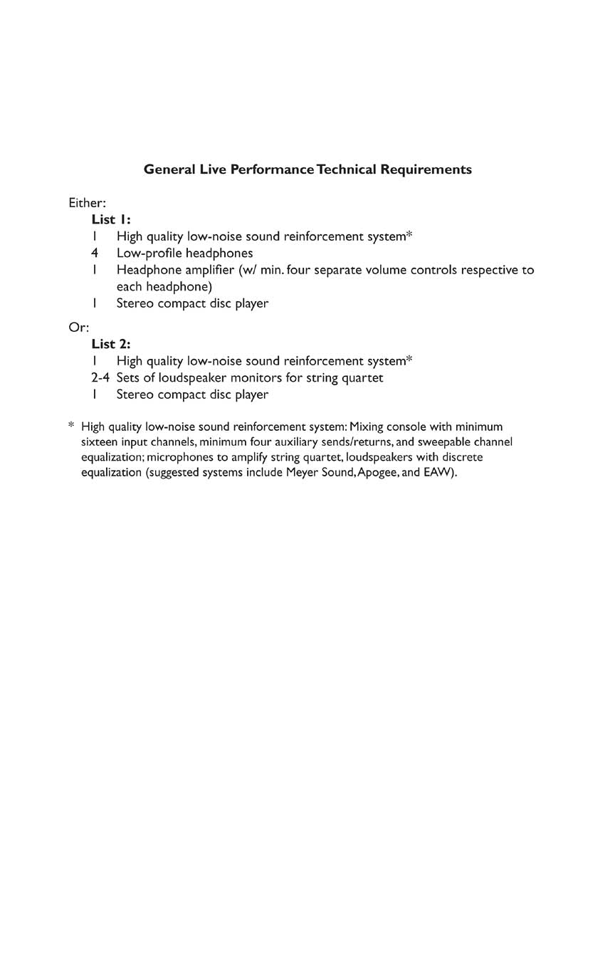
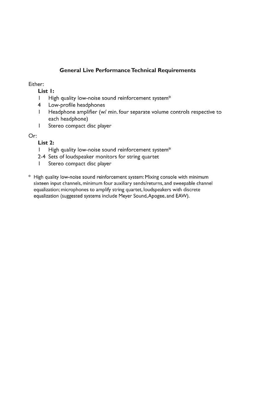
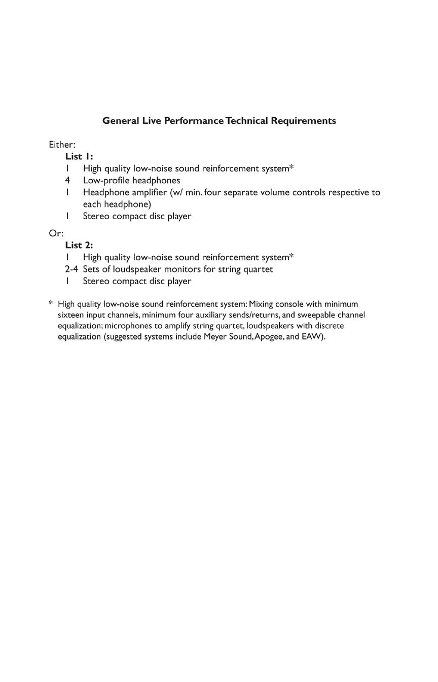
Instrumentation: Violin I, Violin II, Viola, Cello, Pre-Recorded Audio
Ensemble: String Quartet and Pre-Recorded Audio
Format: Study Score
Adams: John's Book Of Alleged Dances (Study Score)
Juilliard Store
144 West 66th Street
New York NY 10023
United States
Choose options
Adams: John's Book Of Alleged Dances (Study Score)
Juilliard Store
144 West 66th Street
New York NY 10023
United States
Adams: John's Book Of Alleged Dances (Study Score)
Juilliard Store
144 West 66th Street
New York NY 10023
United States
