Vocal Music
5413 products
Sort by
Sort by
Favorite Tenor Arias
Sale price$18.95
Kennst Du Das Land from Little Women - Baritone
Sale price$3.95
Anthology of Spanish Song
Sale price$29.99
Anthology of Spanish Song Low Voice Edition
Sale price$34.99
Sondheim For Singers Duets
Sale price$29.99
Orff Klage der Ariadne
Sale price$16.95
From the Diary of Sally Hemings - Medium Voice and Piano
Sale price$19.99
Italian Opera Arias Soprano
Sale price$28.99
Serate Musicali - Volume 2
Sale price$14.95
Daugherty Letters From Lincoln for Baritone and Piano Reduction
Sale price$20.00
Worship Solos for Singers
Sale price$19.99
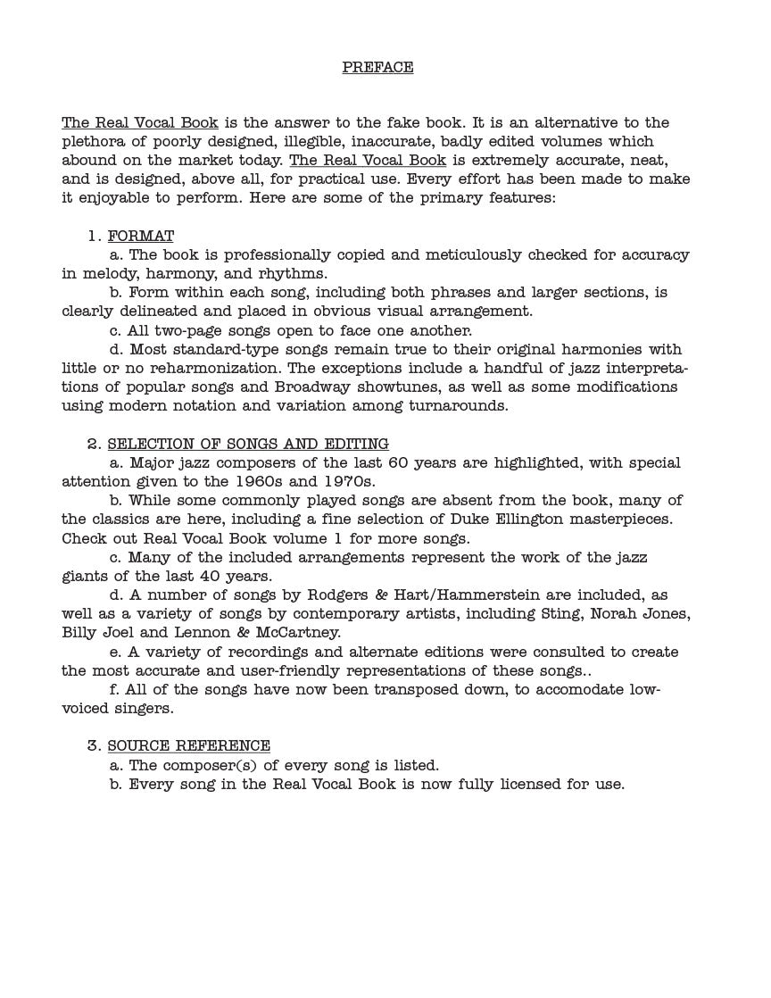
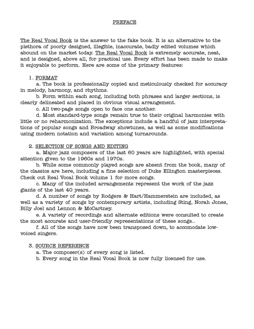
Real Vocal Book, The Volume 2, Low Voice
Sale price$35.00
Argento, Dominick - Andrée Expedition, The
Sale price$24.99
Lieder Anthology Complete Package
Sale price$49.99
First Book of Solos Complete
Sale price$35.99
McDonald, Audra - Best of
Sale price$19.99
Favorite German Art Songs - Volume 2 Low Voice
Sale price$17.95
Disney Solos for Kids - Piano/Vocal
Sale price$19.99
Kids' Broadway Songbook
Sale price$24.99
Cycle of Holy Songs
Sale price$10.95
Easy Forties Fake Book, The
Sale price$19.95
Coleman Barnum
Sale price$16.95
Lili Boulanger Faust et Hélène
Sale price$34.99












